#P15243. [NHSPC 2025] 融合圖的直徑
[NHSPC 2025] 融合圖的直徑
题目描述
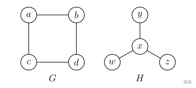
圖形結構 包含一個有限的集合 做為節點集合,以及一個無序對的集合 作為邊的集合(如圖一)。圖形結構有相當廣泛的應用,例如:交通路網、蛋白質結構的分析、計畫管理評估、都市系統結構分析、半導體晶片設計元件擺放的布線等,使得圖形結構一直是數學家和電腦科學家解決問題的好工具。
:::align{center}

圖一 :::
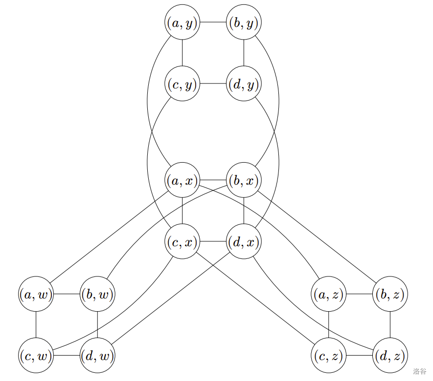
在數學中,兩個集合 和 的笛卡兒乘積 (Cartesian product),在集合論中表示為 ,是所有可能的有序對組成的集合,其中有序對的第一個對象是 的成員,第二個對象是 的成員。圖形理論學家 教授研究圖形性質多年,他定義兩圖形 與 的融合圖為一個新的圖形結構並以 表示,其點集合為 ,此圖形中若兩節點 與 相連必須滿足:
- 且 ,或
- 且 。
圖二顯示了圖一中 和 的笛卡兒乘積。
:::align{center}

圖二 :::
教授為了要進一步瞭解融合圖的性質,他定義了一些度量方式:圖形中任兩節點 和 的距離是指從 到 之間,所經過邊個數最小的路徑其邊的個數。若要計算一張圖的直徑,首先要求得任意兩點之間的最短路徑,在這些所有的最短路徑中,取其長度最長者,即是這張圖的直徑(如圖三)。給定兩張圖形 與 ,請協助 教授計算融合圖 的直徑。假如答案大於或等於 ,則輸出除以 之後的餘數;若沒有答案,意即存在兩點之間沒有路徑,則輸出 。
:::align{center}

圖三:此圖直徑為 :::
输入格式
$$\begin{aligned} &n_1 \\ &e_{1,1} e_{1,2} \dots e_{1,n_1} \\ &e_{2,1} e_{2,2} \dots e_{2,n_1} \\ &\vdots \\ &e_{n_1,1} e_{n_1,2} \dots e_{n_1,n_1} \\ &n_2 \\ &e^\prime_{1,1} e^\prime_{1,2} \dots e^\prime_{1,n_2} \\ &e^\prime_{2,1} e^\prime_{2,2} \dots e^\prime_{2,n_2} \\ &\vdots \\ &e^\prime_{n_2,1} e^\prime_{n_2,2} \dots e^\prime_{n_2,n_2} \end{aligned}$$- 代表圖 中的節點個數,即 。
- 代表圖 中, 和 是否相連,其中 代表有相連, 則代表沒有相連。
- 代表圖 中的節點個數,即 。
- 代表圖 中, 和 是否相連,其中 代表有相連, 則代表沒有相連。
输出格式
- 如果直徑存在,則 代表融合圖 的直徑除以 之後的餘數。
- 如果直徑不存在,則 。
2
01
10
2
01
10
2
4
0101
1010
0101
1010
4
0100
1011
0100
0100
4
5
01000
10101
01010
00101
01010
1
0
3
提示
測資限制
- 。
- 。
- 。
- 保證圖 沒有自環,也就是 。
- 。
- 。
- $\forall 1 \leq i < j \leq n_2, e^\prime_{i,j}=e^\prime_{j,i}$。
- 保證圖 沒有自環,也就是 。
評分說明
本題共有四組子任務,條件限制如下所示。 定義 依序為圖 、圖 邊的個數,也就是 $m_1=\left\vert E(G)\right\vert, m_2=\left\vert E(H)\right\vert$。 每一組可有一或多筆測試資料,該組所有測試資料皆需答對才會獲得該組分數。
| 子任務 | 分數 | 額外輸入限制 |
|---|---|---|
| 1 | 18 | , 且 。 |
| 2 | 11 | 保證 和 都是沒有環的連通圖。 |
| 3 | 25 | 。 |
| 4 | 46 | 無額外限制。 |