#P15238. [NHSPC 2025] 電動車充電規劃問題

[NHSPC 2025] 電動車充電規劃問題

题目描述

小明買了一台電動車,其電池容量為 B B 。小明知道電動車的初始電量 b b ,他要規劃從起點開到終點的路線,使得所需的充電費用越少越好。電動車在一些路段會耗電(如平路或是上坡),在一些路段會充電(如下坡)。這些充電路段是不會收費的。我們用一個有向圖表示地圖,邊的權重代表電動車開過此邊會讓電量增加或減少,如果開過此邊會充電,則邊的權重為一個正數,反之如果開過此邊會耗電,則邊的權重為一個負數。我們假設圖沒有正環。

電動車在行駛時,電量需要永遠大於等於 0 0 ,而且無論充電量多大,電量最多為 B B 。更明確地說,令 p p 為電動車目前電量,並考慮一個權重為 w w 的邊:如果 w w 非負數,則電動車一定可以開過此邊(即使電量 p=0 p=0 ),且剩餘電量為 min(B,p+w) \min(B, p+w) ;如果 w w 是負數,且 p+w0 p+w \ge 0 ,則電動車可以開過此邊,且開過此邊後的剩餘電量為 p+w p+w ;然而,如果 p+w<0 p+w<0 ,則電動車無法開過此邊。

地圖上有一些節點是充電站,小明可以經過多個充電站,因為充電要花時間找充電樁,小明決定路途中最多只用一個充電站充電。充電一單位的價格是一塊錢,小明的目標是花最少的錢到達目的地。

舉例來說,考慮以下三個圖,我們用方形節點代表充電站,圓形節點則無法充電。假設電池容量 B=100 B=100 ,起點為 s s ,終點為 t t ,且初始電量為 20 20

在下圖中,電動車可以從 s s 抵達 t t ,且最小充電費用為 0 0

:::align{center} :::

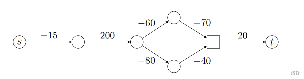
在下圖中,電動車無法從 ss 抵達 tt

:::align{center} :::

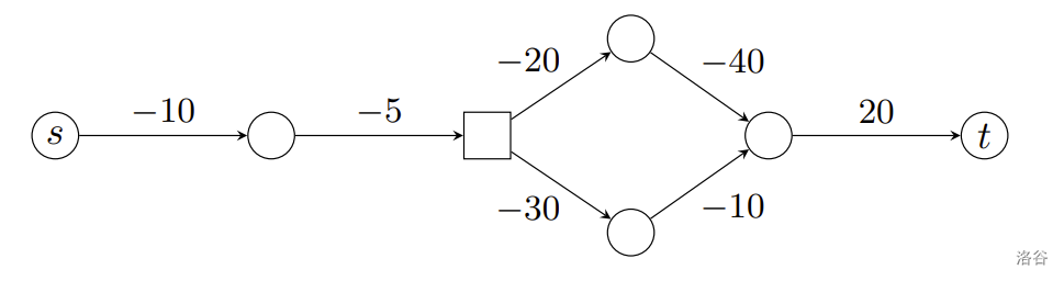
在下圖中,電動車可以從 ss 抵達 tt,且最小充電費用為 3535

:::align{center} :::

输入格式

$$\begin{aligned} &n \; m \; s \; t \\ &B \; b \\ &u_1 \; v_1 \; w_1 \\ &u_2 \; v_2 \; w_2 \\ &\vdots \\ &u_m \; v_m \; w_m \\ &g \; p_1 \; p_2 \; \cdots \; p_g \end{aligned}$$
  • nn 為節點數。
  • mm 為邊數。
  • ss 為起點編號。
  • tt 為終點編號。
  • BB 為電池容量。
  • bb 為電池初始電量。
  • ui,vi,wiu_i, v_i, w_i 代表圖中有一個邊由節點 uiu_i 至節點 viv_i,且權重為 wiw_i
  • gg 為充電站個數。
  • pip_i 為第 ii 個充電站的節點編號。

输出格式

aa
  • aa 代表最少所需的充電費用。如果不存在路徑抵達終點,則 a=1a = -1
6 5 1 6
100 20
1 2 -5
2 3 10
3 4 -25
4 5 5
5 6 -5
1 4
0
7 7 1 7
100 20
1 2 -15
2 3 200
3 4 -60
3 5 -80
4 6 -70
5 6 -40
6 7 20
1 6
-1
7 7 1 7
100 20
1 2 -10
2 3 -5
3 4 -20
3 5 -30
4 6 -40
5 6 -10
6 7 20
1 3
35
7 7 1 7
100 60
1 2 -10
2 3 -5
3 4 -20
3 5 -30
4 6 -40
5 6 -10
6 7 -5
0
0

提示

測資限制

  • 1n1031 \le n\le 10^3
  • 1m1041 \le m\le 10^4
  • 1s,tn1 \le s,t\le n
  • 1B1091 \le B\le 10^9
  • 0bB0 \le b\le B
  • 1ui,vin1 \le u_i, v_i\le n,且 uiviu_i \neq v_i
  • 109wi109-10^9 \le w_i\le 10^9
  • 0gn0 \le g\le n
  • 1pin1 \le p_i \le n
  • 保證圖沒有正環。
  • 輸入的數皆為整數。

評分說明

本題共有四組子任務,條件限制如下所示。 每一組可有一或多筆測試資料,該組所有測試資料皆需答對才會獲得該組分數。

子任務 分數 額外輸入限制
1 15 輸入滿足所有路段都不會充電,即 wi0w_i\le 0, 且沒有充電站,即 g=0g = 0
2 30 輸入滿足所有路段都不會充電,即 wi0w_i\le 0
3 23 輸入滿足沒有充電站,即 g=0g = 0
4 32 無額外限制。