#P14829. [THUPC 2026 初赛] Asian Soul

[THUPC 2026 初赛] Asian Soul

题目背景

来自 2026 清华大学学生程序设计竞赛暨高校邀请赛(THUPC2026)初赛,提供了额外 2.5 秒时限。

题解等资源可在 https://gitlink.org.cn/thusaa/thupc2026pre 查看。

よくまあここまで来た歴史を振り返ると
気が遠くなりそうになる だけど

荷物と遺伝子を乗せ一緒に揺られながら
行こうぜ この命は一瞬もいいところ

--- Asian Soul by Jun Maeda & MANYO & Yanaginagi

题目描述

给定一颗节点编号 1,2,,n1, 2, \cdots, n 的树,其中根节点的编号为 11

给定一个只包含 1n1 \sim n 中整数的长度为 mm 的数列 a1,a2,,ama_1, a_2, \cdots, a_m,每个元素象征着树上对应编号的结点。

你要回答 qq 次询问。每次询问给定数列上的一个区间和树上的一个结点,查询在区间内选点和树上给定点求 LCA 后,所得到结点编号的最大值。

具体地,我们假设树上结点 u,vu, v 的 LCA 为 LCA(u,v)\text{LCA}(u, v),则一组询问 l,r,ul, r, u 需要你求出 maxlkrLCA(ak,u)\max_{l \leq k \leq r} \text{LCA}(a_k, u)

输入格式

从标准输入读入数据。

第一行三个整数 n,m,qn, m, q (1n,m,q5×1051 \leq n, m, q \leq 5 \times 10^5)。

接下来 n1n-1 行,每行两个数 u,vu, v,代表树上一条连接 u,vu, v 的边。

接下来一行 mm 个数,表示给定的数列 a1,a2,,ama_1, a_2, \cdots, a_m (1ain1 \leq a_i \leq n)。

接下来 qq 行,每行三个数 l,r,ul, r, u (1lrm,1un1 \leq l \leq r \leq m, 1 \leq u \leq n),表示关于数列上区间 alra_{l \sim r} 和树上结点 uu 的一组询问。

输出格式

输出到标准输出。

对于每组询问依次输出一行一个数,表示对应询问的答案。

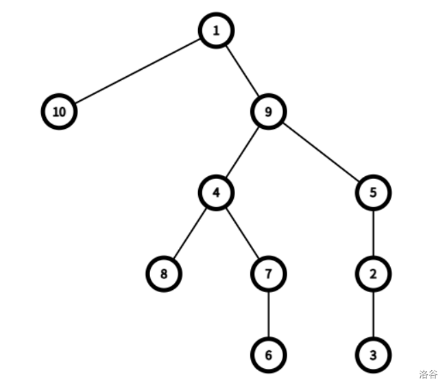
10 12 20
1 10
1 9
9 4
9 5
4 8
4 7
5 2
7 6
2 3
10 8 6 4 3 2 5 7 1 4 6 7
5 8 1
1 12 1
5 6 2
1 3 2
5 5 3
5 7 3
8 12 4
1 5 4
1 1 5
5 6 5
11 12 6
1 2 6
9 12 7
7 9 7
1 4 8
6 11 8
1 1 9
9 10 9
2 12 10
1 1 10
1
1
2
9
3
5
4
9
1
5
7
4
7
9
8
9
1
9
1
10

提示

【样例 1 解释】

:::align{center} :::

树的形态如图所示。

【样例 2】

见题目目录下的 2.in 与 2.ans。

【样例 3】

见题目目录下的 3.in 与 3.ans。

【样例 4】

见题目目录下的 4.in 与 4.ans。

【样例 5】

见题目目录下的 5.in 与 5.ans。

【样例 6】

见题目目录下的 6.in 与 6.ans。

【样例 7】

见题目目录下的 7.in 与 7.ans。

【样例 8】

见题目目录下的 8.in 与 8.ans。

【样例 9】

见题目目录下的 9.in 与 9.ans。

【样例 10】

见题目目录下的 10.in 与 10.ans。

【提示】

本题提供了若干可供下载的样例,方便你的调试,请勿作大量无意义提交。