题目描述
JOI 国位于平面上。国内有 N 个村庄,村庄编号为 1 到 N。村庄 i 被视为位于坐标 (i,0) 的点。目前,JOI 国计划建设连接村庄的通信线路。为应对故障,计划建设两套系统,分别称为 系统 1 和 系统 2。
系统 k 包含 Mk 个枢纽和 N+Mk−1 条线路。系统 k 的枢纽编号为 1 到 Mk,枢纽 j 被视为位于坐标 (Xkj,Ykj) 的点。系统 k 的每条线路连接村庄与系统 k 的枢纽,或连接系统 k 的枢纽之间。每条线路被视为连接两端的线段。保证任意两条线路除端点外没有其他公共点。系统 1 的枢纽 j 的 y 坐标 Y1j 大于 0;系统 2 的枢纽 j 的 y 坐标 Y2j 小于 0。
若两个地点能通过线路间接连接,则称它们可以通信。即,若能通过沿线路反复移动从一个地点到达另一个地点,则这两个地点可以通信。仅考虑系统 1 的线路或仅考虑系统 2 的线路时,任意两个村庄及枢纽均可以通信。
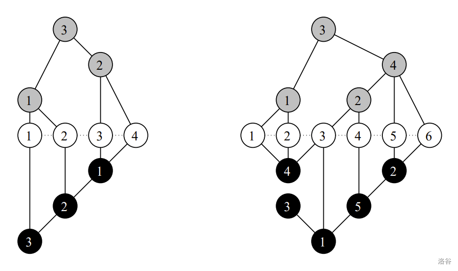
下图是通信线路的示例。灰色圆点表示系统 1 的枢纽,黑色圆点表示系统 2 的枢纽,白色圆点表示村庄。
:::align{center}

左图对应样例 1,右图对应样例 2
:::
在计划讨论中,需研究在外部攻击下通信的可持续性。外部攻击由两个数 A, B(A≥0, B≤0)描述,假设其会破坏所有 y 坐标大于 A 的枢纽和所有 y 坐标小于 B 的枢纽。枢纽被破坏后,经其转发的通信将无法进行。
任务
给定村庄及各系统的信息,同时给出 Q 个查询。每个查询 q 由一个整数 Aq 表示,意味着所有 y 坐标大于 Aq 的枢纽将被破坏。对于每个查询,求一个整数 Bq(Bq≤0),使得即使破坏所有 y 坐标大于 Aq 的枢纽和所有 y 坐标小于 Bq 的枢纽,所有村庄之间仍能保持通信,且 Bq 是满足条件的最大值。
输入格式
从标准输入读取以下输入数据:
- 第 1 行包含四个以空格分隔的整数 N,M1,M2,Q。
- 接下来的 M1+(N+M1−1) 行描述系统 1 的信息:
- 前 M1 行中,第 i 行(1≤i≤M1)包含两个整数 X1i,Y1i。
- 后续 N+M1−1 行中,第 i 行(1≤i≤N+M1−1)包含三个整数 T1i,C1i,D1i(T1i=1,2):
- 若 T1i=1,则线路 i 连接村庄 C1i 与枢纽 D1i(1≤C1i≤N,1≤D1i≤M1)。
- 若 T1i=2,则线路 i 连接枢纽 C1i 与枢纽 D1i(1≤C1i,D1i≤M1,且 C1i=D1i)。
- 接下来的 M2+(N+M2−1) 行描述系统 2 的信息:
- 前 M2 行中,第 i 行(1≤i≤M2)包含两个整数 X2i,Y2i。
- 后续 N+M2−1 行中,第 i 行(1≤i≤N+M2−1)包含三个整数 T2i,C2i,D2i(T2i=1,2):
- 若 T2i=1,则线路 i 连接村庄 C2i 与枢纽 D2i(1≤C2i≤N,1≤D2i≤M2)。
- 若 T2i=2,则线路 i 连接枢纽 C2i 与枢纽 D2i(1≤C2i,D2i≤M2,且 C2i=D2i)。
- 接下来的 Q 行中,第 i 行(1≤i≤Q)包含一个整数 Ai。
输出格式
向标准输出输出 Q 行。第 i 行(1≤i≤Q)输出一个整数 Bi,表示对查询 i 的答案。若答案为 0,不得输出 −0。
4 3 3 1
1 1
3 2
2 3
1 1 1
1 2 1
1 3 2
1 4 2
2 1 3
2 2 3
3 -1
2 -2
1 -3
1 1 3
1 2 2
1 3 1
1 4 1
2 1 2
2 2 3
2
-2
6 4 5 4
2 1
4 1
3 3
5 2
1 1 1
1 2 1
1 3 2
1 4 2
2 2 4
1 5 4
1 6 4
2 1 3
2 4 3
3 -3
5 -1
2 -2
2 -1
4 -2
1 2 4
1 3 4
1 1 4
2 1 3
1 5 2
1 6 2
1 4 5
2 2 5
1 3 1
2 5 1
3
1
2
0
0
-2
-1
-3
提示
限制
所有输入数据满足以下条件:
- 1≤N,M1,M2≤100000
- $-1\,000\,000\,000 \leq X_{1i} \leq 1\,000\,000\,000$ (1≤i≤M1)
- $-1\,000\,000\,000 \leq X_{2i} \leq 1\,000\,000\,000$ (1≤i≤M2)
- 1≤Y1i≤1000000000 (1≤i≤M1)
- −1000000000≤Y2i≤−1 (1≤i≤M2)
- X1i=X1j 或 Y1i=Y1j (1≤i,j≤M1 且 i=j)
- X2i=X2j 或 Y2i=Y2j (1≤i,j≤M2 且 i=j)
- 1≤Q≤100000
- 0≤Ai≤1000000000 (1≤i≤Q)
- 任意两条线路除端点外没有其他公共点
- 仅考虑系统 1 的线路或仅考虑系统 2 的线路时,任意两个村庄及枢纽均可以通信
子任务
子任务 1 [20 分]
满足以下条件:
- N,M1,M2≤1000
- Q≤1000
子任务 2 [80 分]
无额外限制。
翻译由 DeepSeek V3 完成