#P14272. [ROI 2014 Day1] 玩具自动售货机
[ROI 2014 Day1] 玩具自动售货机
题目背景
译自 ROI 2014 Day1 T1. Автомат с игрушками
题目描述
在 E 城的娱乐中心安装了一台新一代的游戏自动机。玩家可以向机器中投入硬币,并观察硬币从上到下穿过一个分叉的管道迷宫。
迷宫中共有 个节点,编号从 到 。每次投入硬币时,硬币会首先进入第 个节点。除第一个节点外,每个节点都恰好有一条从上方通入的管道,硬币可沿着这条管道进入该节点。从每个节点出发,最多有两条向下延伸的管道:一条通向左侧,一条通向右侧。
每条管道都有一定的宽度。当硬币到达某个节点时,它会沿着更宽的管道向下滑落;若两条管道宽度相同,则硬币选择左边的管道。
当硬币通过某条管道后,该管道的宽度会减少 。宽度为 的管道无法再通过硬币。如果硬币到达某个节点,而该节点已无可通行的管道,则机器停止运作,等待下一枚硬币投入。
最初,每个节点中都放有一个玩具。当硬币第一次到达某个节点时,该节点中的玩具会被送给投入该硬币的玩家。
潘克拉特非常喜欢编号为 的节点中的玩具。请编写一个程序,确定潘克拉特最少需要投入多少枚硬币,才能获得节点 中的玩具。
输入格式
第一行包含一个整数 —— 迷宫中的节点数量。
接下来的 行依次描述所有节点。第 行描述编号为 的节点,包含四个整数 , , , :
若节点 有一条左管道,则:
- 表示该管道通向的节点编号(满足 );
- 表示该管道的初始宽度;
若节点 没有左管道,则 。
同理,若节点 有一条右管道,则:
- 表示该管道通向的节点编号(满足 );
- 表示该管道的初始宽度;
若节点 没有右管道,则 。
最后一行包含一个整数 ()—— 潘克拉特想要的玩具所在节点编号。
保证除第一个节点外,每个节点都有且仅有一条进入它的管道。
输出格式
输出一个整数 —— 潘克拉特需要投入的最少硬币数量,才能获得编号为 的节点中的玩具。如果无法获得该玩具,则输出 。
7
2 1 3 2
0 0 6 3
4 1 5 1
0 0 0 0
7 2 0 0
0 0 0 0
0 0 0 0
5
3
4
0 0 2 1
4 1 3 1
0 0 0 0
0 0 0 0
3
-1
提示
样例解释
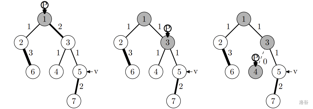
在第一个样例中:
-
第一枚硬币经过的路径如下,玩家获得编号为 1、3 和 4 的节点中的玩具:
:::align{center}

:::
-
第二枚硬币经过的路径如下,玩家获得编号为 2 和 6 的节点中的玩具:
:::align{center}

:::
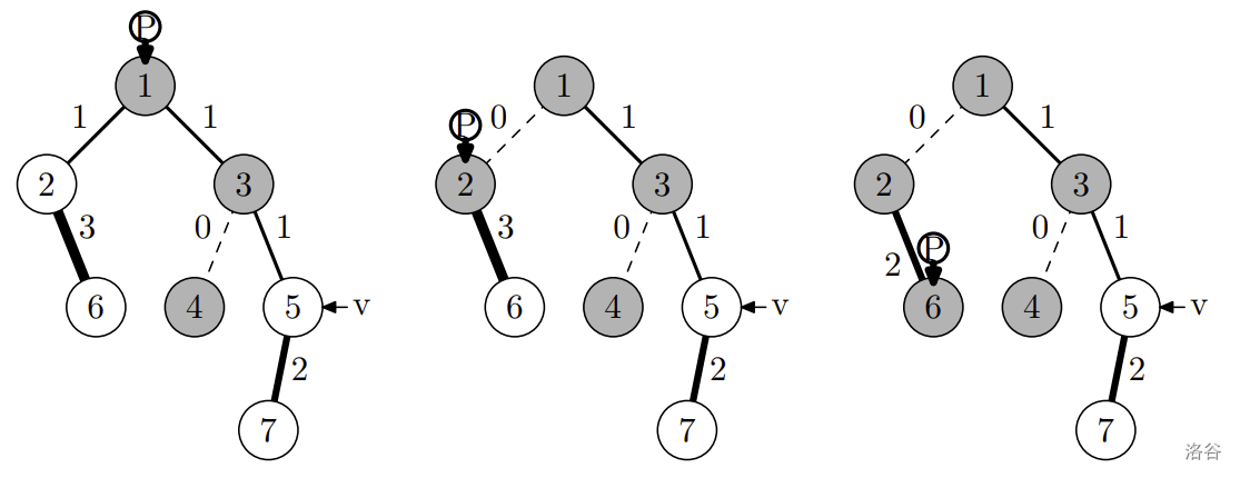
-
第三枚硬币经过的路径如下,玩家获得编号为 5 和 7 的节点中的玩具:
:::align{center}

:::
数据范围
本题包含两个子任务。每个子任务使用独立的测试集进行评测,只有当某个子任务的所有测试通过时,才能获得对应分数。
子任务 1
- 分值:50 分
子任务 2
- 分值:50 分