#P14067. [PO Final 2022] 找环 / Monopol
[PO Final 2022] 找环 / Monopol
题目描述
Jocke 和他的朋友们经常一起玩大富翁。但在无数次游戏之后,他们对普通规则感到厌倦,于是稍微做了些改动:
首先他们会选择一个大小合适的国家。接着他们查看该国家的公路网,并选出若干城市,组成一个环(就像大富翁棋盘一样)。随后他们真的去到那个国家,开着车沿着这个环行驶,用真钱买卖地产来进行游戏。
不过有一个限制使得游戏实施起来很困难:他们必须在公路网里找到一个合适的环。有些国家的公路网非常庞大,更麻烦的是,这个环必须含有偶数条边,否则规则无法运行(“自由停车”不会落在中心,导致游戏不平衡)。
给定一张无向图,你的任务是在其中找到一个边数为偶数的环(偶环),如果存在的话。
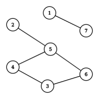
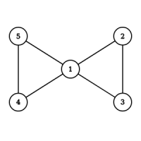
::::align{center}

图 1:三个样例对应图的示意。 ::::
输入格式
第一行包含两个整数 和 ,分别表示节点数与边数(,)。
接下来有 行,每行包含两个整数 和 ,表示图中在节点 与节点 之间有一条边( 且 )。保证图中同一对节点之间不存在多条边。
输出格式
如果不存在偶环,输出一行字符串 。
如果存在偶环,输出一行字符串 。随后输出这样一个环:先输出一行一个偶数 (),表示环中的节点数。下一行输出 个两两不同的整数 (),用空格分隔,表示环上的节点,使得边 $(v_1, v_2), (v_2, v_3), \ldots, (v_{k-1}, v_k), (v_k, v_1)$ 都在图中出现。
如果有多种合法答案,输出任意一种均可被接受。
4 5
1 2
1 3
2 3
3 4
4 1
YES
4
3 2 1 4
5 6
1 2
1 3
1 4
1 5
2 3
4 5
NO
7 6
1 7
3 4
4 5
5 6
6 3
5 2
YES
4
6 3 4 5
提示
子任务
本题采用捆绑测试。 | 子任务编号 | 得分 | 限制 | |:-:|:-:|---| | | | | | | | 且 | | | | 图是二分图 | | | | 图中所有节点的度数至多 | | | | 图中所有节点的度数至少 | | | | 无其他限制 |