#P13613. [IOI 2018] doll 机械娃娃
[IOI 2018] doll 机械娃娃
题目描述
所谓机械娃娃,是能够自动地重复特定运动序列的娃娃。在日本,很多机械娃娃在古代就造出来了。
机械娃娃的运动被一个由多个器件组成的管路所控制。这些器件通过管道连在一起。每个器件都有一个或两个出口,而且可以有任意多的(也可以为零)的入口。每个管道都从某个器件的出口连到同一器件或其他器件的入口。每个入口都连接恰好一个管道,而每个出口也都连接恰好一个管道。
为了描述娃娃是如何运动的,设想有一个球放在这些器件之一的上面。这个球在管路中穿行。在穿行的每一步,它从所在器件的一个出口离开该器件,沿着连接该出口的管道,进入管道另一头所连接的器件。
器件有三种类型:起点、触发器和开关。总共有恰好一个起点, 个触发器和 个开关( 可以为零)。开关的数量 要由你来定。每个器件都有唯一的序列号。
起点是球最初所在的那个器件。它有一个出口。它的序列号是 。

一旦球进入某个触发器,就会让娃娃做某个特定运动。每个触发器都有一个出口。触发器的序列号是从 到 。

每个开关都有两个出口,被记为 X 和 Y。开关的状态或者为 X,或者为 Y。在球进入某个开关后,它会从开关的当前状态所对应的出口离开。此后开关将切换为另一状态。最初,所有开关的状态都是 X。开关的序列号是从 到 。

告诉你触发器的数量 。再给你一个长度为 的序列 ,序列的每个元素都是某个触发器的序列号。每个触发器会在序列 中出现若干次(也可能是零次)。你的任务是设计一个管路,以满足如下条件:
- 球在若干步之后返回到起点。
- 当球首次返回到起点时,所有开关的状态都是
X。 - 在球首次返回到起点时,此前它进入所有触发器的总次数恰好为 。这些被进入过的触发器,其序列号按照被球经过的顺序依次为 。
- 设 为球首次返回到起点时,球所引起的所有开关状态切换的总次数。 不能超过 。
同时,你不想用太多的开关。
实现细节
你需要包含 doll.h 库文件,并实现下面的过程。
你的程序无需包含 doll.h 库文件。你需要将 void answer(vector<int> C, vector<int> X, vector<int> Y); 放在程序开头,并且请选择 C++20/C++23 提交。
create_circuit(int M, vector<int> A)
M:触发器数量。A:长度为 的数组,其中按照球进入的顺序,给出了被进入的触发器的序列号。- 该过程将被调用恰好一次。
- 注意, 的值是数组
A的长度,你可以按照注意事项中的有关内容来取得。
你的程序需要调用下面的过程来作答。
answer(vector<int> C, vector<int> X, vector<int> Y)
C:长度为 的数组。器件 的出口被连到器件C[i]。X, Y:长度相同的两个数组。这些数组的长度 为开关的数量。对于开关 来说,其出口X被连到器件X[j - 1],而出口Y被连到器件Y[j - 1]。C、X和Y中的任一元素必须是 到 的整数(包括 和 )。- 最多只能是 。
- 必须调用该过程恰好一次。
- 由
C、X和Y所表示的管路必须满足题面中的限制条件。
如果上述条件不满足,你的程序将被判为 Wrong Answer。否则,你的程序将被判为 Accepted,而你的得分将根据 来计算(参见子任务)。
输入格式
评测程序示例按照以下格式从标准输入中读入输入:
- 第一行:
- 第二行:
输出格式
评测程序示例产生三个输出。
首先,评测程序示例把你的答案以下列格式输出到文件 out.txt。
- 第一行:
- 第 行():
C[i] - 第 行():
X[j - 1] Y[j - 1]
其次,评测程序示例模拟球的移动。它把该球经过的器件的序列号,按照经过顺序输出到文件 log.txt。
第三,评测程序示例将在标准输出中打印对你的答案的评价
- 如果你的程序被判为
Accepted,评测程序示例按照以下格式打印 和 :Accepted: S P; - 如果你的程序被判为
Wrong Answer,它打印Wrong Answer: MSG。各类MSG的含义如下:answered not exactly once:过程answer不是恰好被调用一次。wrong array length:C的长度不是 ,或者X和Y的长度不一样。over 400000 switches: 大于 。wrong serial number:C、X或者Y的某个元素比 小或者比 大。over 20000000 inversions:球没有在所有开关的状态变化总数超过 之前返回到起点。state 'Y':当球首次返回到起点时,某个开关的状态为Y。wrong motion:触发运动的触发器和序列 所列的不一致。
注意,当你的程序被判为 Wrong Answer 时,评测程序示例可能并不创建 out.txt 和/或 log.txt。
4 4
1 2 1 3
提示
例子

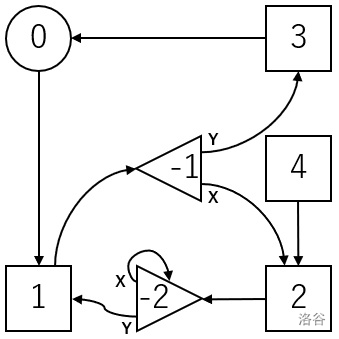
假设 , 和 。评测程序调用 create_circuit(4, [1, 2, 1, 3])。
上图展示了函数调用 answer([1, -1, -2, 0, 2], [2, -2], [3, 1]) 所对应的管路图。图中的数字是器件的序列号。
图中使用了两个开关。所以 。
开关 和 的初始状态都是“X”。
球的穿行轨迹如下:
$$0 \rightarrow 1 \rightarrow -1 \xrightarrow{\text{X}} 2 \rightarrow -2 \xrightarrow{\text{X}} -2 \xrightarrow{\text{Y}} 1 \rightarrow -1 \xrightarrow{\text{Y}} 3 \rightarrow 0 $$当球首次进入开关 时,该开关的状态为“X”。所以,该球走到触发器 2。然后开关 的状态变成“Y”。
当球第二次进入开关 时,该开关的状态为“Y”。所以,该球走到触发器 3。然后开关 的状态变为“X”。
球在经过触发器 后首次返回到起点。开关 和 的状态都是“X”。 的值是 。所以,这个管路是满足条件的。
在压缩附件包中,有一个文件 sample-01-in.txt 对应于本例。其他输入样例也可以在压缩附件包中找到。
在样例数据下载中的文件 ex_doll1.in 对应于本例。其他的输入样例在样例包中还可找到。注意:样例包中的输出没有任何意义。
限制条件
对于全部数据,$1\le M\le 10^5,1\le N\le 2\times 10^5,1\le A_k\le M\ (0\le k\le N-1)$。
子任务
每个测试样例的分数和限制条件如下:
- (2 分)对每个 ,整数 在序列 中最多出现 次。
- (4 分)对每个 ,整数 在序列 中最多出现 次。
- (10 分)对每个 ,整数 在序列 中最多出现 次。
- (10 分)
- (18 分)
- (56 分)无附加限制
对每个测试样例,如果你的程序被判定为 Accepted, 你的得分将根据 的值来计算:
- 如果 ,你将获得该测试样例的满分。
- 对于子任务 和 的每个测试样例,如果 ,你将获得部分分。该测试样例上的得分为 ,再乘以该子任务的满分分数。
- 否则,得分为 。
注意,你在每个子任务上的得分是该子任务中所有测试样例上的最低得分。